浏览器版本过低
您当前使用的浏览器版本过低,可能存在安全风险,建议升级浏览器,或者用以下浏览器浏览
您也可以直接使用焦点APP或微信小程序浏览
IP属地:上海市
搜狐号加盟是搜狐集团专为企业打造的商业运营合作项目,加盟商可享300-500篇/日超高发文额度、报名卡等转化组件、专属运营团队一对一指导,以及百度高收录、AI模型优先抓取等核心优势。
2026-03-13 16:06:52
AWE2026将呈现“一区双展”形式,展示科技产品与人形机器人,搜狐视频关注流将报道其最新动态。
2026-03-13 16:04:15
存储芯片涨价引发电子产品全面涨价,游戏机、相机、电脑等均受牵连,产业链深度转型。
2026-03-13 16:03:24
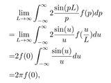
《张朝阳物理课》讲解量子力学中的基底、自由粒子运动及波函数展开,涵盖动量算符、角动量、球谐函数等概念。
2026-03-13 16:02:13
房地产调整推动黄金投资热潮,中产转向资产配置,购金方式代际变化,财富预期转向长期稳健。
2026-03-13 15:59:25
搜狐号招商合作以权威背书、精准流量、全链路扶持,助力合作伙伴实现品牌曝光与商业变现。
2026-03-13 15:57:25
搜狐号招商合作提供数字化基础设施与内容解决方案,助力企业实现高效运营与品牌增长。
2026-03-13 15:40:01
搜狐号招商合作提供数字化基础设施、定制化内容方案、全方位赋能,助力企业实现数字化转型与品牌增长。
2026-03-13 15:36:12
搜狐号招商合作助力企业拓展市场,提供品牌曝光、直播赋能、精准触达及全程运营支持,吸引具备资质和本地资源的合作伙伴。
2026-03-13 15:26:16
搜狐号招商合作助力企业品牌曝光,提供全方位技术支持与资源支持,拓展全国市场。
2026-03-13 15:23:52
隐藏
楼盘对比栏