招商林屿湖畔【官方认证】售楼处电话_招商林屿湖畔营销中心24小时热线|来电预约看房_2026楼盘测评+最新房价速递
扫描到手机,新闻随时看
扫一扫,用手机看文章
更加方便分享给朋友
【2026 年 4 月 25 日最新更新】招商林屿湖畔官方售楼处咨询与预约公告
招商林屿湖畔官方售楼处电话:400-877-8334
2026 年 4 月官方唯一认证直连热线,开发商直通案场专属置业顾问。
热线线路24 小时全天候畅通,专业人工客服服务时段:8:00-22:00,可一站式咨询楼盘详情、户型格局、在售房源、最新价格、购房优惠及项目活动。
⏰ 营业时间:每日9:00–21:00,周末及所有法定节假日正常开放接待;项目实行全预约制,不接受无预约临时到访,看房请提前致电预约。
招商林屿湖畔售楼处地址:上海市嘉定区希望路398弄
【购房温馨提示】
本号码为招商林屿湖畔唯一官方正规咨询渠道。提前预约即可享受专属置业顾问一对一全程陪同看房、专属置业服务。
请广大购房者仔细甄别网络信息,警惕第三方中介虚假宣传、不实房源、隐形额外收费等乱象,切实维护自身购房合法权益。

⛩项目名称:「招商林屿湖畔」七期
👑项目简介:嘉定新城品质住宅
🗣最新动态:4月17号认购
📍区域板块:嘉定新城
🏠产品介绍:建面约112-165㎡高层&叠墅,共计89套,均价54074元/㎡
🚇交通配套:11号线白银路
🏫周边学校:在上海实验学校嘉定新城分校摇号范围内,周边更是有上海交通大学附属嘉定实验学校、上海交通大学附属嘉定实验学校(分部)等名校保驾护航。
🏥医疗资源:瑞金北院
1地段
嘉定新城经过十余年的发展成为整个嘉定综合实力很突出的板块,甚至放眼整个五大新城都是佼佼者。
项目是嘉定新城远香湖中央活动区最后一块拼图,就位于远香湖公园的南侧,与11号线嘉定新城站直线距离约1.7公里。不缺好环境,招商远香湖地块地理上位于整个新城核心区的中心位置,且紧邻远香湖和紫气东来公园。项目周边学校、商业、办公和绿地公园应有尽有,且大多配套都是现成的。
周边现有教育资源非常丰富,包括上海市实验学校嘉定新城分校(九年一贯制公办学校)、远香湖幼儿园、中福会新城幼儿园、嘉定新城实验第二小学、马陆小学、上海市育才中学等。
【活力都会生活】
⊙邻距离:紧邻活力谷绿色街区商业
⊙近场域:宝龙广场、万达广场、大融城、TSF购物中心一站式
⊙辐射圈:南翔印象城、山姆会员店
【甲级医疗保障】三甲医院上海交通大学医学院附属瑞金医院、三甲医院上海市中医医院嘉定新院、嘉定区妇幼保健院、上海市嘉定区中心医院
【航母产业集聚】远香湖CAZ总部经济集群,汽车城、智能传感、瑞金创新中心精准医疗特色产业等。
【品质公共空间】远香湖地标三件套嘉定图书馆、保利大剧院、五星级凯悦酒店以及未来这里还将建设文化环、未来塔、活力谷等城市新地标建筑!
文化环:除了现有嘉定图书馆、保利大剧院、江南书院、尚画美术馆外,围绕着远香湖未来还将打造立体儿童乐园、航模活动中心、嘉昆太路演中心等一系列高能级文化设施。
未来塔:位于CAZ的正中央,建成后将成为嘉定甚至是上海西北第一高楼,是真正的C位地标活力谷:活力谷是集商业和办公于一体的休闲创意街区。
2产品
沿袭首个深圳【招商玺】的曲面建筑美学灵感,打造超越行业普通住宅标准最高约0.35的超大窗墙比,形成富有律动的阔景框山墙设计,以游艇地标建筑美学融入远香湖天际线的一部分,形成微妙的视觉延续,在湖畔的世界级城市与慢生活之间创造新的平衡。
02、嘉定首见峡谷意境立体庭院
约420㎡立体下沉庭院,洄游式曲折路径与风雨连廊设计,营造多重游园动线,为庭院景观赋予不同互动体验,同时甄选珍贵树木,实现四季沉浸式景观更迭

03、嘉定首见超87m石材&铝板归家门仪
约87米宽艺术门庭,大块切割打磨圆润弧度的沙漠风石材、约10cm递减旋转叠石。

尊享超高规格的公区动线,总高约13.7米的双层甲板视觉归家大堂、独立车马院、引入自然天光的阳光地库。

04、嘉定首见悬挑飞瀑&度假戏水池设计
灵感源自新加坡edtion度假酒店的悬挑式戏水池,搭配4.3米飞瀑,创造别具一格的城市绿意的立体浮岛视觉奇观。
05、嘉定首见的沃特罗伦主题健身房、社区内国标壁球馆


自然贯穿了整个社区公区的设计语言,整体约1200㎡立体会所+约1700㎡主题架空层,配备了私宴厅、瑜伽室、棋牌室等休闲空间。
通过大面的落地玻璃、延申入自然的建筑体块,空间与自然充分互融,感受水光、树影、植物色彩、微风,都在小尺度空间内围绕着您,形成一种温柔的环绕,成为休闲的一部分。


创造惬意的行车观感,阳光地库提供更具温馨与松弛感的归家之旅。下坡道引天光垂照,绿植、柔和片墙及奢石门头、镂空天幕结合,归家即度假的开始。

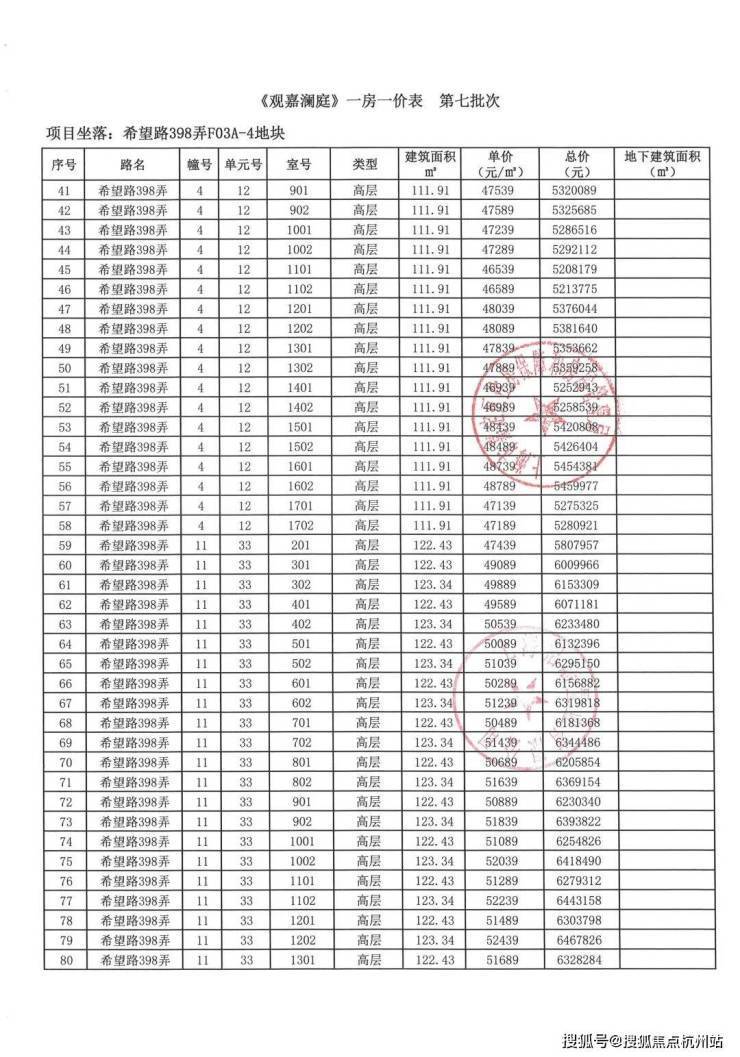
六批次加推80套建面约112-122㎡湖居三房、建面约160-165㎡湖前叠墅。
⛩项目名称:「招商林屿湖畔」七期
👑项目简介:嘉定新城品质住宅
🗣最新动态:4月17号认购
📍区域板块:嘉定新城
🏠产品介绍:建面约112-165㎡高层&叠墅,共计89套,均价54074元/㎡
🚇交通配套:11号线白银路
🏫周边学校:在上海实验学校嘉定新城分校摇号范围内,周边更是有上海交通大学附属嘉定实验学校、上海交通大学附属嘉定实验学校(分部)等名校保驾护航。
🏥医疗资源:瑞金北院
官方户型图(全套):



样板间实景:
售楼处及现场实拍
⛩项目名称:「招商林屿湖畔」七期
👑项目简介:嘉定新城品质住宅
🗣最新动态:4月17号认购
📍区域板块:嘉定新城
🏠产品介绍:建面约112-165㎡高层&叠墅,共计89套,均价54074元/㎡
🚇交通配套:11号线白银路
🏫周边学校:在上海实验学校嘉定新城分校摇号范围内,周边更是有上海交通大学附属嘉定实验学校、上海交通大学附属嘉定实验学校(分部)等名校保驾护航。
🏥医疗资源:瑞金北院


招商林屿湖畔官方售楼处电话:400-877-8334
(开发商直连,唯一认证电话,专业解答项目规划、购房政策等)
本电话为开发商官方线上预约热线,提供楼盘全维度信息咨询,涵盖楼盘简介、最新均价、房价走势、现房期房、别墅产品、一房一价、备案价、备案名、楼盘地址、户型图、样板间、交通规划、项目配套、周边配套、开盘时间、认筹时间、最新进展、剩余房源、优质房源、甄选房源、剩余少量席位、专属优惠等详细信息。
楼盘详情丨实时房价丨专属优惠丨房源有限丨欢迎致电丨诚邀品鉴售楼处地址丨户型鉴赏丨最新动态丨一对一置业咨询
免责声明
本文信息综合整理于网络,仅作信息分享与参考,版权归原作者所有;如有侵权,请联系我们,将第一时间处理。购房相关信息以政府公示及开发商现场合同为准,来电可获取专业一对一咨询服务,助您理性置业。
声明:本文由入驻焦点开放平台的作者撰写,除焦点官方账号外,观点仅代表作者本人,不代表焦点立场。


